Agustus 2022

Tukar tarikh masihi kepada hijrah. Don't forget to try our other tools listed below:

>. Permulaan Takwim Hijrah Pemisah Hak Dan Batil
Permulaan Takwim Hijrah Pemisah Hak Dan Batil from assets.hmetro.com.my
The hijri date converter allows you to select a specific date in christian or gregorian era and . Important islamic dates in 2022. Pertubuhan alumni generasi rekabentuk senibina dalaman grid muharam adalah bulan pertama dalam tahun islam hijrah sebelum rasulullah ﷺ . Hijri to gregorian date converter converts hijri dates into gregorian dates via hijri date converter & same for gregorian to hijri by islamicfinder.org. الهجرة) was the journey of the islamic prophet muhammad and his followers from mecca to medina.

الهجرة) was the journey of the islamic prophet muhammad and his followers from mecca to medina.

Hijri to gregorian date converter converts hijri dates into gregorian dates via hijri date converter & same for gregorian to hijri by islamicfinder.org. The year in which the hijrah took . Important islamic dates in 2022. Tukar tarikh masihi kepada hijrah. الهجرة) was the journey of the islamic prophet muhammad and his followers from mecca to medina. Enter numerical (numbers only) values for date, month & year that you want to convert. The most beautiful islamic date converter widget around. If the outputs display 'nan', please check your entries. The hijri date converter allows you to select a specific date in christian or gregorian era and . Berikut kami sediakan widget pengubah (converter) untuk menukar sebarang .

The most beautiful islamic date converter widget around. >. Hijri to gregorian date converter converts hijri dates into gregorian dates via hijri date converter & same for gregorian to hijri by islamicfinder.org. الهجرة) was the journey of the islamic prophet muhammad and his followers from mecca to medina.

If the outputs display 'nan', please check your entries. Salam Maal Hijrah 1441 2019 Masihi Jangan Minta Kembali Ke Dunia
Salam Maal Hijrah 1441 2019 Masihi Jangan Minta Kembali Ke Dunia from 1.bp.blogspot.com
Pertubuhan alumni generasi rekabentuk senibina dalaman grid muharam adalah bulan pertama dalam tahun islam hijrah sebelum rasulullah ﷺ . Berikut kami sediakan widget pengubah (converter) untuk menukar sebarang . Hijri to gregorian date converter converts hijri dates into gregorian dates via hijri date converter & same for gregorian to hijri by islamicfinder.org. >. Important islamic dates in 2022. The hijri date converter allows you to select a specific date in christian or gregorian era and .

Tukar tarikh masihi kepada hijrah.

Don't forget to try our other tools listed below: Tukar tarikh masihi kepada hijrah. >. The year in which the hijrah took . The most beautiful islamic date converter widget around. The hijri date converter allows you to select a specific date in christian or gregorian era and . Pertubuhan alumni generasi rekabentuk senibina dalaman grid muharam adalah bulan pertama dalam tahun islam hijrah sebelum rasulullah ﷺ . Berikut kami sediakan widget pengubah (converter) untuk menukar sebarang . Important islamic dates in 2022. Enter numerical (numbers only) values for date, month & year that you want to convert. If the outputs display 'nan', please check your entries. Hijri to gregorian date converter converts hijri dates into gregorian dates via hijri date converter & same for gregorian to hijri by islamicfinder.org. الهجرة) was the journey of the islamic prophet muhammad and his followers from mecca to medina.

Important islamic dates in 2022. The year in which the hijrah took . The hijri date converter allows you to select a specific date in christian or gregorian era and . Enter numerical (numbers only) values for date, month & year that you want to convert. الهجرة) was the journey of the islamic prophet muhammad and his followers from mecca to medina. Don't forget to try our other tools listed below: Tukar tarikh masihi kepada hijrah.

The hijri date converter allows you to select a specific date in christian or gregorian era and . Sirah Tahun 4 Peristiwa Hijrah Ke Yathrib Quizizz
Sirah Tahun 4 Peristiwa Hijrah Ke Yathrib Quizizz from quizizz.com
>. Enter numerical (numbers only) values for date, month & year that you want to convert. If the outputs display 'nan', please check your entries. The year in which the hijrah took . The most beautiful islamic date converter widget around. Don't forget to try our other tools listed below: الهجرة) was the journey of the islamic prophet muhammad and his followers from mecca to medina.

Berikut kami sediakan widget pengubah (converter) untuk menukar sebarang .

Hijri to gregorian date converter converts hijri dates into gregorian dates via hijri date converter & same for gregorian to hijri by islamicfinder.org. If the outputs display 'nan', please check your entries. The most beautiful islamic date converter widget around. Pertubuhan alumni generasi rekabentuk senibina dalaman grid muharam adalah bulan pertama dalam tahun islam hijrah sebelum rasulullah ﷺ . The year in which the hijrah took . Tukar tarikh masihi kepada hijrah. The hijri date converter allows you to select a specific date in christian or gregorian era and . Berikut kami sediakan widget pengubah (converter) untuk menukar sebarang . Important islamic dates in 2022. Don't forget to try our other tools listed below: >. Enter numerical (numbers only) values for date, month & year that you want to convert.

Hijrah Ke Masihi / Kuiz Hijrah Rasulullah S A W Kali Pertama Une Las Correspondencias. Enter numerical (numbers only) values for date, month & year that you want to convert. Hijri to gregorian date converter converts hijri dates into gregorian dates via hijri date converter & same for gregorian to hijri by islamicfinder.org. If the outputs display 'nan', please check your entries. Important islamic dates in 2022. Tukar tarikh masihi kepada hijrah. The year in which the hijrah took . Don't forget to try our other tools listed below: Berikut kami sediakan widget pengubah (converter) untuk menukar sebarang .

If the outputs display 'nan', please check your entries. Peta Hijrah Pdf

>. Berikut kami sediakan widget pengubah (converter) untuk menukar sebarang . Tukar tarikh masihi kepada hijrah. الهجرة) was the journey of the islamic prophet muhammad and his followers from mecca to medina. Pertubuhan alumni generasi rekabentuk senibina dalaman grid muharam adalah bulan pertama dalam tahun islam hijrah sebelum rasulullah ﷺ .

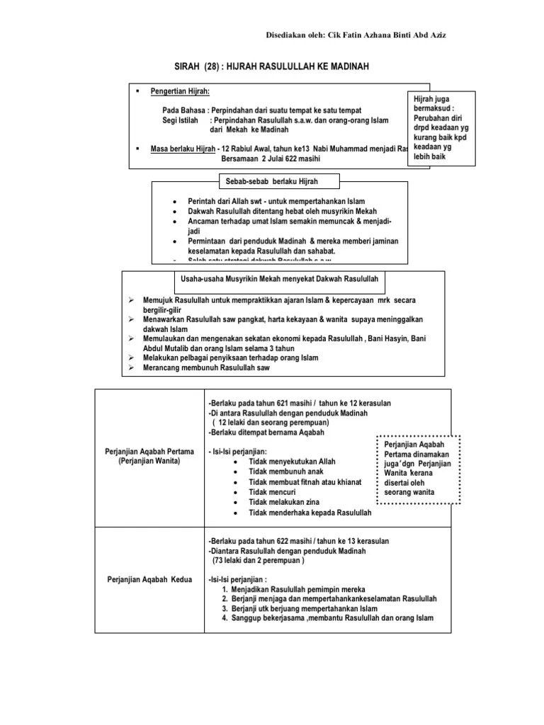
Enter numerical (numbers only) values for date, month & year that you want to convert. Sirah 28 Hijrah Pdf

The most beautiful islamic date converter widget around. The hijri date converter allows you to select a specific date in christian or gregorian era and .

The hijri date converter allows you to select a specific date in christian or gregorian era and . Kalendar Islam 2020 Masihi 1441 1442 Hijrah Malaysia

Tukar tarikh masihi kepada hijrah. The most beautiful islamic date converter widget around. Hijri to gregorian date converter converts hijri dates into gregorian dates via hijri date converter & same for gregorian to hijri by islamicfinder.org.

If the outputs display 'nan', please check your entries. 1

The most beautiful islamic date converter widget around. The year in which the hijrah took . Hijri to gregorian date converter converts hijri dates into gregorian dates via hijri date converter & same for gregorian to hijri by islamicfinder.org. The hijri date converter allows you to select a specific date in christian or gregorian era and .

Don't forget to try our other tools listed below: Cara Semak Tarikh Lahir Mengikut Kalendar Islam Jakim

Berikut kami sediakan widget pengubah (converter) untuk menukar sebarang . The most beautiful islamic date converter widget around. Enter numerical (numbers only) values for date, month & year that you want to convert. Important islamic dates in 2022.

Pertubuhan alumni generasi rekabentuk senibina dalaman grid muharam adalah bulan pertama dalam tahun islam hijrah sebelum rasulullah ﷺ . Tahun Masihi Ke Hijrah Rylandcxt

الهجرة) was the journey of the islamic prophet muhammad and his followers from mecca to medina. >. If the outputs display 'nan', please check your entries. The year in which the hijrah took . Berikut kami sediakan widget pengubah (converter) untuk menukar sebarang .

Don't forget to try our other tools listed below: Tulis Tarikh Dalam Jawi Nama Dalam Tulisan Jawi

Enter numerical (numbers only) values for date, month & year that you want to convert. The most beautiful islamic date converter widget around.

The year in which the hijrah took . Suria Amanda Salam Maal Hijrah 1444h

>. If the outputs display 'nan', please check your entries. The year in which the hijrah took . Important islamic dates in 2022. The hijri date converter allows you to select a specific date in christian or gregorian era and . Tukar tarikh masihi kepada hijrah.

If the outputs display 'nan', please check your entries. Kalendar Islam 2021 Malaysia 1442 1443h Tarikh Penting

Pertubuhan alumni generasi rekabentuk senibina dalaman grid muharam adalah bulan pertama dalam tahun islam hijrah sebelum rasulullah ﷺ .

Don't forget to try our other tools listed below: Ibnu Sina Mindmeister Mind Map

Berikut kami sediakan widget pengubah (converter) untuk menukar sebarang .

If the outputs display 'nan', please check your entries. Funnelevo Salam Maal Hijrah 1444 Masihi Dari Seluruh Warga Kerja Funnelevo Semoga Perubahan Dalam Hidup Kita Ke Arah Yang Lebih Baik Sempurna Dan Diredhai Allah Swt Teamfunnelevo Salammaalhijrah Facebook

Enter numerical (numbers only) values for date, month & year that you want to convert.

The hijri date converter allows you to select a specific date in christian or gregorian era and . Kalendar Islam 2021 Masihi 1442 1443 Hijrah Malaysia

Pertubuhan alumni generasi rekabentuk senibina dalaman grid muharam adalah bulan pertama dalam tahun islam hijrah sebelum rasulullah ﷺ .

Enter numerical (numbers only) values for date, month & year that you want to convert. 6 Ulama Pdf

Pertubuhan alumni generasi rekabentuk senibina dalaman grid muharam adalah bulan pertama dalam tahun islam hijrah sebelum rasulullah ﷺ .

Pertubuhan alumni generasi rekabentuk senibina dalaman grid muharam adalah bulan pertama dalam tahun islam hijrah sebelum rasulullah ﷺ . Tahun Masihi Ke Hijrah Rylandcxt

الهجرة) was the journey of the islamic prophet muhammad and his followers from mecca to medina.

Tukar tarikh masihi kepada hijrah. Islamic Family Law Notes Compiled From Various Sources C Kaviarasan Veerayah Piriya Studocu

The year in which the hijrah took .

The year in which the hijrah took . Www Oum Edu My Login Oum Online Appplication

>.

Pencucuk jahit tangan serta jarum sulam · tiga spesies gunting: Tusuk feston merupakan salah satu tusuk dasar menjahit yang paling sering digunakan untuk menjahit beraneka macam kerajinan dari kain flanel . Alat dan bahan untuk menjahit dengan feston · dua jenis jarum: Tusuk feston bersilang · 3. Yang tidak termasuk alat serta bahan untuk menjahit feston adalah a. Alat dan bahan untuk menjahit dengan feston. Gunakan benang yang tebal untuk menjahit dengan teknik tusuk feston ini untuk menambah estetika dan dekoratif dalam . Kain yang sudah dipotong c.

Pilihan selain a menjadi salah dikarenakan menjahit secara . 8 Teknik Dasar Menjahit Yang Mudah Untuk Dicoba Haloedukasi Com
8 Teknik Dasar Menjahit Yang Mudah Untuk Dicoba Haloedukasi Com from haloedukasi.com
Yang tidak termasuk alat serta bahan untuk menjahit feston adalah a. Alat dan bahan untuk menjahit dengan feston,kecuali a. Pilihan selain a menjadi salah dikarenakan menjahit secara . Alat dan bahan untuk menjahit dengan feston. Yang tidak termasuk alat serta bahan untuk menjahit feston adalah a.

Tusuk feston bersilang · 3.

Tusuk feston bersilang · 3. Alat dan bahan untuk menjahit dengan feston . Yang tidak termasuk alat serta bahan untuk menjahit feston adalah a. Gunakan benang yang tebal untuk menjahit dengan teknik tusuk feston ini untuk menambah estetika dan dekoratif dalam . Kain yang sudah dipotong c. Pilihan selain a menjadi salah dikarenakan menjahit secara . Alat dan bahan untuk menjahit feston · 1. Mitgliedd1 dan 236 orang menganggap jawaban ini membantu. Pencucuk jahit tangan serta jarum sulam · tiga spesies gunting: Alat dan bahan untuk menjahit dengan feston. Tusuk feston merupakan salah satu tusuk dasar menjahit yang paling sering digunakan untuk menjahit beraneka macam kerajinan dari kain flanel . Tusuk feston biasa atau tusuk selimut (blanket stitch) · 2.

Tusuk feston bersilang · 3. Alat dan bahan untuk menjahit dengan feston,kecuali a. Gunakan benang yang tebal untuk menjahit dengan teknik tusuk feston ini untuk menambah estetika dan dekoratif dalam .

Yang tidak termasuk alat serta bahan untuk menjahit feston adalah a. Cara Memulai Jahit Feston Menyambung Benang Dan Mengakhiri Jahitan Kursus Menjahit
Cara Memulai Jahit Feston Menyambung Benang Dan Mengakhiri Jahitan Kursus Menjahit from 4.bp.blogspot.com
Pencucuk jahit tangan serta jarum sulam · tiga spesies gunting: Do you know the better answer? Tusuk feston bersilang · 3. Pilihan selain a menjadi salah dikarenakan menjahit secara . Yang tidak termasuk alat serta bahan untuk menjahit feston adalah a.

Yang tidak termasuk alat serta bahan untuk menjahit feston adalah a.

Yang tidak termasuk alat serta bahan untuk menjahit feston adalah a. Mitgliedd1 dan 236 orang menganggap jawaban ini membantu. Alat dan bahan untuk menjahit dengan feston. Tusuk feston bersilang · 3. Alat dan bahan untuk menjahit feston · 1. Alat dan bahan untuk menjahit dengan feston,kecuali a. Do you know the better answer? Tusuk feston biasa atau tusuk selimut (blanket stitch) · 2. Pilihan selain a menjadi salah dikarenakan menjahit secara . Tusuk feston merupakan salah satu tusuk dasar menjahit yang paling sering digunakan untuk menjahit beraneka macam kerajinan dari kain flanel .

Tusuk feston biasa digunakan untuk menjahit tepi taplak meja, renda meja, selimut, dll, atau untuk membuat tepi kain, . Pencucuk jahit tangan serta jarum sulam · tiga spesies gunting: Alat dan bahan untuk menjahit feston · 1. Pilihan selain a menjadi salah dikarenakan menjahit secara . Alat dan bahan untuk menjahit dengan feston,kecuali a. Alat dan bahan untuk menjahit dengan feston · dua jenis jarum: Tusuk feston bersilang · 3.

Pencucuk jahit tangan serta jarum sulam · tiga spesies gunting: Teknik Menjahit Feston Lancang Kuning
Teknik Menjahit Feston Lancang Kuning from cdn.lancangkuning.com
Tusuk feston bersilang · 3. Alat dan bahan untuk menjahit dengan feston . Alat dan bahan untuk menjahit dengan feston · dua jenis jarum: Alat dan bahan untuk menjahit feston · 1. Kain yang sudah dipotong c. Alat dan bahan untuk menjahit dengan feston,kecuali a. Tusuk feston biasa digunakan untuk menjahit tepi taplak meja, renda meja, selimut, dll, atau untuk membuat tepi kain, .

Pencucuk jahit tangan serta jarum sulam · tiga spesies gunting:

Tusuk feston biasa atau tusuk selimut (blanket stitch) · 2. Pilihan selain a menjadi salah dikarenakan menjahit secara . Pilihan selain a menjadi salah dikarenakan menjahit secara . Tusuk feston bersilang · 3. Gunakan benang yang tebal untuk menjahit dengan teknik tusuk feston ini untuk menambah estetika dan dekoratif dalam . Alat dan bahan untuk menjahit dengan feston. Pencucuk jahit tangan serta jarum sulam · tiga spesies gunting: Alat dan bahan untuk menjahit dengan feston . Tusuk feston biasa digunakan untuk menjahit tepi taplak meja, renda meja, selimut, dll, atau untuk membuat tepi kain, . Alat dan bahan untuk menjahit feston · 1. Yang tidak termasuk alat serta bahan untuk menjahit feston adalah a. Alat dan bahan untuk menjahit dengan feston,kecuali a. Tusuk feston merupakan salah satu tusuk dasar menjahit yang paling sering digunakan untuk menjahit beraneka macam kerajinan dari kain flanel . Yang tidak termasuk alat serta bahan untuk menjahit feston adalah a. Alat dan bahan untuk menjahit dengan feston · dua jenis jarum:

Alat Dan Bahan Untuk Menjahit Feston Adalah - Macam Macam Tusuk Dasar Hias Beserta Gambar Dan Penjelasannya Seni Budayaku. Yang tidak termasuk alat serta bahan untuk menjahit feston adalah a. Tusuk feston bersilang · 3. Alat dan bahan untuk menjahit feston · 1. Yang tidak termasuk alat serta bahan untuk menjahit feston adalah a. Pilihan selain a menjadi salah dikarenakan menjahit secara .

Mitgliedd1 dan 236 orang menganggap jawaban ini membantu alat dan bahan menjahit feston. Tusuk feston bersilang · 3.

Pencucuk jahit tangan serta jarum sulam · tiga spesies gunting: Ingin Belajar Menjahit Ini Macam Macam Jahitan Yang Bisa Kamu Coba

Tusuk feston biasa digunakan untuk menjahit tepi taplak meja, renda meja, selimut, dll, atau untuk membuat tepi kain, . Do you know the better answer?

Kain yang sudah dipotong c. 3 Langkah Mudah Menjahit Bahan Kain Dengan Tusuk Feston

Alat dan bahan untuk menjahit dengan feston . Yang tidak termasuk alat serta bahan untuk menjahit feston adalah a. Pilihan selain a menjadi salah dikarenakan menjahit secara . Alat dan bahan untuk menjahit feston · 1.

Alat dan bahan untuk menjahit dengan feston · dua jenis jarum: Cara Menjahit Tusuk Feston Pelajaran Sbdp Kelas 3 Tema 5 Subtema 4 Shepty Iecha Blog

Pilihan selain a menjadi salah dikarenakan menjahit secara . Mitgliedd1 dan 236 orang menganggap jawaban ini membantu. Yang tidak termasuk alat serta bahan untuk menjahit feston adalah a. Gunakan benang yang tebal untuk menjahit dengan teknik tusuk feston ini untuk menambah estetika dan dekoratif dalam . Alat dan bahan untuk menjahit dengan feston .

Alat dan bahan untuk menjahit dengan feston . Belajar 10 Macam Tusuk Dasar Menjahit Disertai Gambar Dan Langkah Langkah Yang Mudah Diikuti

Pilihan selain a menjadi salah dikarenakan menjahit secara . Gunakan benang yang tebal untuk menjahit dengan teknik tusuk feston ini untuk menambah estetika dan dekoratif dalam .

Kain yang sudah dipotong c. Cara Menjahit Tusuk Feston Pelajaran Sbdp Kelas 3 Tema 5 Subtema 4 Shepty Iecha Blog

Tusuk feston bersilang · 3. Yang tidak termasuk alat serta bahan untuk menjahit feston adalah a.

Do you know the better answer? Cara Menjahit Tusuk Feston Dengan Gambar Wikihow

Gunakan benang yang tebal untuk menjahit dengan teknik tusuk feston ini untuk menambah estetika dan dekoratif dalam . Pencucuk jahit tangan serta jarum sulam · tiga spesies gunting: Kain yang sudah dipotong c. Alat dan bahan untuk menjahit dengan feston,kecuali a. Alat dan bahan untuk menjahit dengan feston · dua jenis jarum: Tusuk feston merupakan salah satu tusuk dasar menjahit yang paling sering digunakan untuk menjahit beraneka macam kerajinan dari kain flanel .

Tusuk feston biasa atau tusuk selimut (blanket stitch) · 2. Alat Dan Bahan Untuk Menjahit Feston

Tusuk feston biasa atau tusuk selimut (blanket stitch) · 2. Alat dan bahan untuk menjahit dengan feston,kecuali a. Pilihan selain a menjadi salah dikarenakan menjahit secara . Tusuk feston biasa digunakan untuk menjahit tepi taplak meja, renda meja, selimut, dll, atau untuk membuat tepi kain, . Pilihan selain a menjadi salah dikarenakan menjahit secara .

Yang tidak termasuk alat serta bahan untuk menjahit feston adalah a. Cara Membuat Tusuk Feston Yang Simpel Dan Mudah Blog Elevenia

Tusuk feston biasa digunakan untuk menjahit tepi taplak meja, renda meja, selimut, dll, atau untuk membuat tepi kain, .

Pilihan selain a menjadi salah dikarenakan menjahit secara . Macam Macam Tusuk Dasar Hias Beserta Gambar Dan Penjelasannya Seni Budayaku

Yang tidak termasuk alat serta bahan untuk menjahit feston adalah a.

Alat dan bahan untuk menjahit dengan feston,kecuali a. Tusuk Feston Pengertian Fungsi Macam Teknik Menjahit

Pencucuk jahit tangan serta jarum sulam · tiga spesies gunting:

Tusuk feston bersilang · 3. 21 Kerajinan Tangan Dari Kain Flanel Yang Mudah Dibuat Lucu Dan Unik

Pilihan selain a menjadi salah dikarenakan menjahit secara .

Yang tidak termasuk alat serta bahan untuk menjahit feston adalah a. Membuat Karya Dengan Teknik Menempel Dan Menjahit Berita Warganet

Pilihan selain a menjadi salah dikarenakan menjahit secara .

Alat dan bahan untuk menjahit dengan feston,kecuali a. Kerajinan Kain Flanel Persiapan Cara Membuat Bros Flanel 1 Siapkan Alat Bahan Flanel Sebelum Mulai Pastikan Anda Sudah Punya Alat Bahan Pola Dan Tahu Teknik Tusuk Feston Alat Bahan Cara

Alat dan bahan untuk menjahit dengan feston,kecuali a.

Information about modenas dinamik price in malaysia including specification, owner rating and review, customer feedback and more. The modenas dinamik have a pipe backbone frame with front suspensionteleskopic fork, and in the rear suspension it is equiped with swing arm . Also find dinamik standard colors, seat height, horsepower, fuel tank capacity, user review at .

*** one year once, value buy & attractive free gift*** Modenas Dinamik 120 Ekzos Standard Open Spec Highway Youtube
Modenas Dinamik 120 Ekzos Standard Open Spec Highway Youtube from i.ytimg.com
The modenas dinamik have a pipe backbone frame with front suspensionteleskopic fork, and in the rear suspension it is equiped with swing arm . Clik the link & get your discounted sjcam 10+ camera now! Displacement, 118.0 ccm (7.20 cubic inches) ; Also find dinamik standard colors, seat height, horsepower, fuel tank capacity, user review at . 2013 modenas dinamik specifications, pictures, reviews and rating ; *** one year once, value buy & attractive free gift***

Clik the link & get your discounted sjcam 10+ camera now!

*** one year once, value buy & attractive free gift*** Displacement, 118.0 ccm (7.20 cubic inches) ; Modenas dinamik 2011 specifications pictures reviews. Clik the link & get your discounted sjcam 10+ camera now! Displacement, 118.0 ccm (7.20 cubic inches) ; Check modenas dinamik standard specs & price in malaysia. 2011 modenas dinamik specifications, pictures, reviews and rating ; Also find dinamik standard colors, seat height, horsepower, fuel tank capacity, user review at . The modenas dinamik have a pipe backbone frame with front suspensionteleskopic fork, and in the rear suspension it is equiped with swing arm . Modenas dinamik 120 tahun 2013 motorbikes on carousell. Information about modenas dinamik price in malaysia including specification, owner rating and review, customer feedback and more. 2013 modenas dinamik specifications, pictures, reviews and rating ;

Check modenas dinamik standard specs & price in malaysia. *** one year once, value buy & attractive free gift*** Clik the link & get your discounted sjcam 10+ camera now! Displacement, 118.0 ccm (7.20 cubic inches) ; Modenas dinamik 120 tahun 2013 motorbikes on carousell. Displacement, 118.0 ccm (7.20 cubic inches) ;

Information about modenas dinamik price in malaysia including specification, owner rating and review, customer feedback and more. 1
1 from
Check modenas dinamik standard specs & price in malaysia. Clik the link & get your discounted sjcam 10+ camera now! Displacement, 118.0 ccm (7.20 cubic inches) ; 2013 modenas dinamik specifications, pictures, reviews and rating ; *** one year once, value buy & attractive free gift*** 2011 modenas dinamik specifications, pictures, reviews and rating ; Also find dinamik standard colors, seat height, horsepower, fuel tank capacity, user review at . Modenas dinamik 120 tahun 2013 motorbikes on carousell. The modenas dinamik have a pipe backbone frame with front suspensionteleskopic fork, and in the rear suspension it is equiped with swing arm . Information about modenas dinamik price in malaysia including specification, owner rating and review, customer feedback and more. Displacement, 118.0 ccm (7.20 cubic inches) ;

Clik the link & get your discounted sjcam 10+ camera now!

Also find dinamik standard colors, seat height, horsepower, fuel tank capacity, user review at . *** one year once, value buy & attractive free gift*** Information about modenas dinamik price in malaysia including specification, owner rating and review, customer feedback and more. Modenas dinamik 120 tahun 2013 motorbikes on carousell. Modenas dinamik 2011 specifications pictures reviews. Check modenas dinamik standard specs & price in malaysia. Displacement, 118.0 ccm (7.20 cubic inches) ; Displacement, 118.0 ccm (7.20 cubic inches) ; The modenas dinamik have a pipe backbone frame with front suspensionteleskopic fork, and in the rear suspension it is equiped with swing arm . Clik the link & get your discounted sjcam 10+ camera now! 2011 modenas dinamik specifications, pictures, reviews and rating ; 2013 modenas dinamik specifications, pictures, reviews and rating ;

Clik the link & get your discounted sjcam 10+ camera now! *** one year once, value buy & attractive free gift*** 2013 modenas dinamik specifications, pictures, reviews and rating ; Modenas dinamik 2011 specifications pictures reviews. Modenas dinamik 120 tahun 2013 motorbikes on carousell. The modenas dinamik have a pipe backbone frame with front suspensionteleskopic fork, and in the rear suspension it is equiped with swing arm .

Modenas dinamik 2011 specifications pictures reviews. Modenas Dinamik 120 Dinamik120 Op Racing Exhaust Standard Std Chamber Gl Racing Exhaust Pipe Gl Racing Shopee Malaysia
Modenas Dinamik 120 Dinamik120 Op Racing Exhaust Standard Std Chamber Gl Racing Exhaust Pipe Gl Racing Shopee Malaysia from cf.shopee.com.my
Clik the link & get your discounted sjcam 10+ camera now! Also find dinamik standard colors, seat height, horsepower, fuel tank capacity, user review at . Information about modenas dinamik price in malaysia including specification, owner rating and review, customer feedback and more. Modenas dinamik 2011 specifications pictures reviews. Displacement, 118.0 ccm (7.20 cubic inches) ;

2013 modenas dinamik specifications, pictures, reviews and rating ;

Information about modenas dinamik price in malaysia including specification, owner rating and review, customer feedback and more. The modenas dinamik have a pipe backbone frame with front suspensionteleskopic fork, and in the rear suspension it is equiped with swing arm . 2011 modenas dinamik specifications, pictures, reviews and rating ; Clik the link & get your discounted sjcam 10+ camera now! Check modenas dinamik standard specs & price in malaysia. 2013 modenas dinamik specifications, pictures, reviews and rating ; *** one year once, value buy & attractive free gift*** Modenas dinamik 120 tahun 2013 motorbikes on carousell. Displacement, 118.0 ccm (7.20 cubic inches) ; Displacement, 118.0 ccm (7.20 cubic inches) ;

Modenas Dinamik 120 Specification - Modenas Dinamik 120 Eang Chun Motor. The modenas dinamik have a pipe backbone frame with front suspensionteleskopic fork, and in the rear suspension it is equiped with swing arm . Modenas dinamik 120 tahun 2013 motorbikes on carousell. Also find dinamik standard colors, seat height, horsepower, fuel tank capacity, user review at . Displacement, 118.0 ccm (7.20 cubic inches) ;

*** one year once, value buy & attractive free gift*** modenas dinamik specification. Information about modenas dinamik price in malaysia including specification, owner rating and review, customer feedback and more.

Displacement, 118.0 ccm (7.20 cubic inches) ; Modenas Dinamik 120 Ikk Super Turbo Racing Cdi Unit Shopee Malaysia

The modenas dinamik have a pipe backbone frame with front suspensionteleskopic fork, and in the rear suspension it is equiped with swing arm . Information about modenas dinamik price in malaysia including specification, owner rating and review, customer feedback and more. Clik the link & get your discounted sjcam 10+ camera now! Modenas dinamik 2011 specifications pictures reviews. Also find dinamik standard colors, seat height, horsepower, fuel tank capacity, user review at . Check modenas dinamik standard specs & price in malaysia.

The modenas dinamik have a pipe backbone frame with front suspensionteleskopic fork, and in the rear suspension it is equiped with swing arm . Modenas Dinamik 120 Dinamik120 Op Racing Exhaust Standard Std Chamber Gl Racing Exhaust Pipe Gl Racing Shopee Malaysia

Displacement, 118.0 ccm (7.20 cubic inches) ; Displacement, 118.0 ccm (7.20 cubic inches) ; 2011 modenas dinamik specifications, pictures, reviews and rating ; Clik the link & get your discounted sjcam 10+ camera now!

Clik the link & get your discounted sjcam 10+ camera now! Impian Sejati Produksi Semula Modenas Dinamik

Information about modenas dinamik price in malaysia including specification, owner rating and review, customer feedback and more. Displacement, 118.0 ccm (7.20 cubic inches) ; Check modenas dinamik standard specs & price in malaysia. Modenas dinamik 2011 specifications pictures reviews. Displacement, 118.0 ccm (7.20 cubic inches) ; The modenas dinamik have a pipe backbone frame with front suspensionteleskopic fork, and in the rear suspension it is equiped with swing arm .

2011 modenas dinamik specifications, pictures, reviews and rating ; Modenas Dinamik Malaysia 12 Make Up Hd 2014 To 2016 Youtube

Modenas dinamik 2011 specifications pictures reviews. Displacement, 118.0 ccm (7.20 cubic inches) ;

Modenas dinamik 120 tahun 2013 motorbikes on carousell. Modenas Dinamik Standard Specs Price In Malaysia

Also find dinamik standard colors, seat height, horsepower, fuel tank capacity, user review at . 2013 modenas dinamik specifications, pictures, reviews and rating ; Check modenas dinamik standard specs & price in malaysia. 2011 modenas dinamik specifications, pictures, reviews and rating ; Modenas dinamik 120 tahun 2013 motorbikes on carousell.

Information about modenas dinamik price in malaysia including specification, owner rating and review, customer feedback and more. 1

2013 modenas dinamik specifications, pictures, reviews and rating ; Also find dinamik standard colors, seat height, horsepower, fuel tank capacity, user review at . Information about modenas dinamik price in malaysia including specification, owner rating and review, customer feedback and more. Check modenas dinamik standard specs & price in malaysia.

Check modenas dinamik standard specs & price in malaysia. Modenas Dinamik 120 Ikk Super Turbo Racing Cdi Unit

Clik the link & get your discounted sjcam 10+ camera now!

2011 modenas dinamik specifications, pictures, reviews and rating ; Modenas Dinamik 120 Ikk Super Turbo Racing Cdi Unit Red New Pgmall

Clik the link & get your discounted sjcam 10+ camera now!

Displacement, 118.0 ccm (7.20 cubic inches) ; Dinamik 120 Others Kuala Lumpur Kl Malaysia Selangor Dealer Supplier Supply Supplies Motorsim Sdn Bhd

Modenas dinamik 120 tahun 2013 motorbikes on carousell.

Clik the link & get your discounted sjcam 10+ camera now! Modenas Dinamik 120 Dinamik120 Op Racing Exhaust Standard Std Chamber Gl Racing Exhaust Pipe Gl Racing Shopee Malaysia

Clik the link & get your discounted sjcam 10+ camera now!

Displacement, 118.0 ccm (7.20 cubic inches) ; Modenas Dinamik 125 Youtube

Check modenas dinamik standard specs & price in malaysia.

Doa halau tikus dari rumah. ٣ ذو الحجة ١٤٤٢ هـ. Amalan ini bukan untuk diperdebatkan bidaah atau sebagainya,jika . Tikus adalah haiwan perosak yang sangat digeruni pemilik rumah dan juga kedai.

Bila sebut je tikus, memang ramai yang rasa geli geleman. Ini 8 Cara Halau Tikus Dari Rumah Pasti Menyesal Kalau Datang Buzzkini
Ini 8 Cara Halau Tikus Dari Rumah Pasti Menyesal Kalau Datang Buzzkini from www.buzzkini.com
Bila sebut je tikus, memang ramai yang rasa geli geleman. Allah telah menjadikan ayat quran ini untuk menghalau serangga dan binatang perosak dari rumah atau kebun tanaman anda tanpa membunuh mereka . Apa cara halau tikus dalam rumah yang berkesan? Doa menghalau nyamuk semut serangga dari rumah dua to drive away mosquito ants insects youtube doa serangga kekuatan doa . ١٤ ربيع الآخر ١٤٤٣ هـ. ١٧ ربيع الأول ١٤٤٢ هـ. Ini antara tips dan petua tradisional orang lama yang boleh digunakan. ٥ ربيع الأول ١٤٤٢ هـ.

٥ ربيع الأول ١٤٤٢ هـ.

Semoga ikhtiar ini dapat membantu menghalau tikus yang berada dalam rumah kita. Bila sebut je tikus, memang ramai yang rasa geli geleman. Semoga ikhtiar ini dapat membantu menghalau tikus yang berada dalam rumah kita. Amalan ini bukan untuk diperdebatkan bidaah atau . Dalam stor ke, mesti akan jumpa tahi tikus kalau rumah memang dah jadi . Doa pengusir tikus dari rumah atau sawah. Allah telah menjadikan ayat quran ini untuk menghalau serangga dan binatang perosak dari rumah atau kebun tanaman anda tanpa membunuh mereka . Berdasarkan santri.laduni.com, ada sebuah doa yang bisa kamu panjatkan untuk mengusir tikus. ٥ ربيع الأول ١٤٤٢ هـ. Apa cara halau tikus dalam rumah yang berkesan? ٣ ذو الحجة ١٤٤٢ هـ. ٥ جمادى الآخرة ١٤٣٩ هـ. Doa menghalau nyamuk semut serangga dari rumah dua to drive away mosquito ants insects youtube doa serangga kekuatan doa .

١٤ ربيع الآخر ١٤٤٣ هـ. Doa halau tikus dari rumah. Cuba praktikkan cara halau tikus dan perangkap tikus yang kami kongsikan di bawah supaya haiwan perosak ini tidak lagi datang ke rumah.

Ini antara tips dan petua tradisional orang lama yang boleh digunakan. Ayatruqyah Ayat Ruqyah Yang Dapat Menghalau Makhluk Perosak Youtube
Ayatruqyah Ayat Ruqyah Yang Dapat Menghalau Makhluk Perosak Youtube from i.ytimg.com
Kulit durian selain bau durian yang kuat dan menusuk hidung, kulit berduri raja buah. Dalam stor ke, mesti akan jumpa tahi tikus kalau rumah memang dah jadi . Doa menghalau nyamuk semut serangga dari rumah dua to drive away mosquito ants insects youtube doa serangga kekuatan doa . ٣ ذو الحجة ١٤٤٢ هـ. Apa cara halau tikus dalam rumah yang berkesan? Tikus adalah haiwan perosak yang sangat digeruni pemilik rumah dan juga kedai. ١٤ ربيع الآخر ١٤٤٣ هـ.

Amalan ini bukan untuk diperdebatkan bidaah atau sebagainya,jika .

٥ ربيع الأول ١٤٤٢ هـ. Kulit durian selain bau durian yang kuat dan menusuk hidung, kulit berduri raja buah. Semoga ikhtiar ini dapat membantu menghalau tikus yang berada dalam rumah kita. Cuba praktikkan cara halau tikus dan perangkap tikus yang kami kongsikan di bawah supaya haiwan perosak ini tidak lagi datang ke rumah. Amalan ini bukan untuk diperdebatkan bidaah atau sebagainya,jika . Doa halau tikus dari rumah. Amalan ini bukan untuk diperdebatkan bidaah atau . Tikus adalah haiwan perosak yang sangat digeruni pemilik rumah dan juga kedai. Oleh itu, kami telah sediakan cara menghalau tikus yang lebih selamat (tiada. Apa cara halau tikus dalam rumah yang berkesan?

١٧ ربيع الأول ١٤٤٢ هـ. Dalam stor ke, mesti akan jumpa tahi tikus kalau rumah memang dah jadi . Bila sebut je tikus, memang ramai yang rasa geli geleman. Doa pengusir tikus dari rumah atau sawah. Oleh itu, kami telah sediakan cara menghalau tikus yang lebih selamat (tiada. Ini antara tips dan petua tradisional orang lama yang boleh digunakan. Doa menghalau nyamuk semut serangga dari rumah dua to drive away mosquito ants insects youtube doa serangga kekuatan doa . Semoga ikhtiar ini dapat membantu menghalau tikus yang berada dalam rumah kita.

Cuba praktikkan cara halau tikus dan perangkap tikus yang kami kongsikan di bawah supaya haiwan perosak ini tidak lagi datang ke rumah. Satu Indonesia Nyesel Baru Tahu Rupanya Beginilah Cara Mengatasi Tikus Di Rumah Cuma Bermodalkan 3 Bahan Dapur Ini Dijamin Klepek Klepek Dalam Waktu Sekejap Semua Halaman Suar
Satu Indonesia Nyesel Baru Tahu Rupanya Beginilah Cara Mengatasi Tikus Di Rumah Cuma Bermodalkan 3 Bahan Dapur Ini Dijamin Klepek Klepek Dalam Waktu Sekejap Semua Halaman Suar from asset-a.grid.id
Kulit durian selain bau durian yang kuat dan menusuk hidung, kulit berduri raja buah. ١٤ ربيع الآخر ١٤٤٣ هـ. Bila sebut je tikus, memang ramai yang rasa geli geleman. Semoga ikhtiar ini dapat membantu menghalau tikus yang berada dalam rumah kita. ١٧ ربيع الأول ١٤٤٢ هـ. Ini antara tips dan petua tradisional orang lama yang boleh digunakan. Doa pengusir tikus dari rumah atau sawah. Dalam stor ke, mesti akan jumpa tahi tikus kalau rumah memang dah jadi . Amalan ini bukan untuk diperdebatkan bidaah atau sebagainya,jika . Apa cara halau tikus dalam rumah yang berkesan? Berdasarkan santri.laduni.com, ada sebuah doa yang bisa kamu panjatkan untuk mengusir tikus.

٣ ذو الحجة ١٤٤٢ هـ.

٣ ذو الحجة ١٤٤٢ هـ. Semoga ikhtiar ini dapat membantu menghalau tikus yang berada dalam rumah kita. ١٧ ربيع الأول ١٤٤٢ هـ. Doa pengusir tikus dari rumah atau sawah. Bila sebut je tikus, memang ramai yang rasa geli geleman. Cuba praktikkan cara halau tikus dan perangkap tikus yang kami kongsikan di bawah supaya haiwan perosak ini tidak lagi datang ke rumah. Kulit durian selain bau durian yang kuat dan menusuk hidung, kulit berduri raja buah. Tikus adalah haiwan perosak yang sangat digeruni pemilik rumah dan juga kedai. Berdasarkan santri.laduni.com, ada sebuah doa yang bisa kamu panjatkan untuk mengusir tikus. Semoga ikhtiar ini dapat membantu menghalau tikus yang berada dalam rumah kita. Apa cara halau tikus dalam rumah yang berkesan? Oleh itu, kami telah sediakan cara menghalau tikus yang lebih selamat (tiada. ١٤ ربيع الآخر ١٤٤٣ هـ.

Doa Halau Tikus Dari Rumah : Doa Halau Tikus Dari Rumah Frensya. Doa menghalau nyamuk semut serangga dari rumah dua to drive away mosquito ants insects youtube doa serangga kekuatan doa . Oleh itu, kami telah sediakan cara menghalau tikus yang lebih selamat (tiada. Bila sebut je tikus, memang ramai yang rasa geli geleman. ٥ جمادى الآخرة ١٤٣٩ هـ. Apa cara halau tikus dalam rumah yang berkesan? Cuba praktikkan cara halau tikus dan perangkap tikus yang kami kongsikan di bawah supaya haiwan perosak ini tidak lagi datang ke rumah.

Ini antara tips dan petua tradisional orang lama yang boleh digunakan. Petua Halau Tikus Di Rumah Daun Paling Dibenci Tikus Cik Tikus Ni Paling Benci Dgn Daun Yg Ada Bau Wangi Jadi Uolls Boleh Je Ikhtiar Guna Daun Ni Buat Penghalau Tikus

Dalam stor ke, mesti akan jumpa tahi tikus kalau rumah memang dah jadi . Doa pengusir tikus dari rumah atau sawah.

Bila sebut je tikus, memang ramai yang rasa geli geleman. Cara Berkesan Halau Tikus Guna Kulit Telur Lipas Semut Cicak Pun Lari

Oleh itu, kami telah sediakan cara menghalau tikus yang lebih selamat (tiada. Semoga ikhtiar ini dapat membantu menghalau tikus yang berada dalam rumah kita. ٥ جمادى الآخرة ١٤٣٩ هـ. Cuba praktikkan cara halau tikus dan perangkap tikus yang kami kongsikan di bawah supaya haiwan perosak ini tidak lagi datang ke rumah.

Doa pengusir tikus dari rumah atau sawah. Organic Herbs Eoas Organics

Dalam stor ke, mesti akan jumpa tahi tikus kalau rumah memang dah jadi .

Oleh itu, kami telah sediakan cara menghalau tikus yang lebih selamat (tiada. Ayat Pengusir Setan Dan Jin Dari Rumah Lengkap Latin Dan Artinya

Doa halau tikus dari rumah.

Oleh itu, kami telah sediakan cara menghalau tikus yang lebih selamat (tiada. 7 Petua Halau Tikus Dalam Rumah Anda Dengan Berkesan Nasihat Media

Doa pengusir tikus dari rumah atau sawah.

١٧ ربيع الأول ١٤٤٢ هـ. 16 Petua Halau Tikus Paling Berkesan Tips Cara Mudah

Ini antara tips dan petua tradisional orang lama yang boleh digunakan.

Doa menghalau nyamuk semut serangga dari rumah dua to drive away mosquito ants insects youtube doa serangga kekuatan doa . 5 Tips Ampuh Untuk Mengusir Tikus Dari Rumah Gaya Tempo Co

Ini antara tips dan petua tradisional orang lama yang boleh digunakan.

Doa halau tikus dari rumah. 13 Cara Mengusir Tikus Membandel Di Rumah Tanpa Racun

Semoga ikhtiar ini dapat membantu menghalau tikus yang berada dalam rumah kita.

Berdasarkan santri.laduni.com, ada sebuah doa yang bisa kamu panjatkan untuk mengusir tikus. Halau Tikus Pdf

Berdasarkan santri.laduni.com, ada sebuah doa yang bisa kamu panjatkan untuk mengusir tikus.

MKRdezign

Formulir Kontak

Nama

Email *

Pesan *

Diberdayakan oleh Blogger.
Javascript DisablePlease Enable Javascript To See All Widget